Teilnehmendenlisten
Überblick über die Kursteilnehmenden als PDF-, CSV oder Excel-Datei.
Teilnehmendenlisten als A4-PDF-Dokument
Perfekt für Ausdrucke oder die Weitergabe im Team: Exportiere vollständige Teilnehmendenlisten als übersichtliche PDF-Dateien – inklusive Kontaktdaten, Kursinformationen und Zahlungsstatus. Ideal für den schnellen Überblick bei Veranstaltungen vor Ort.

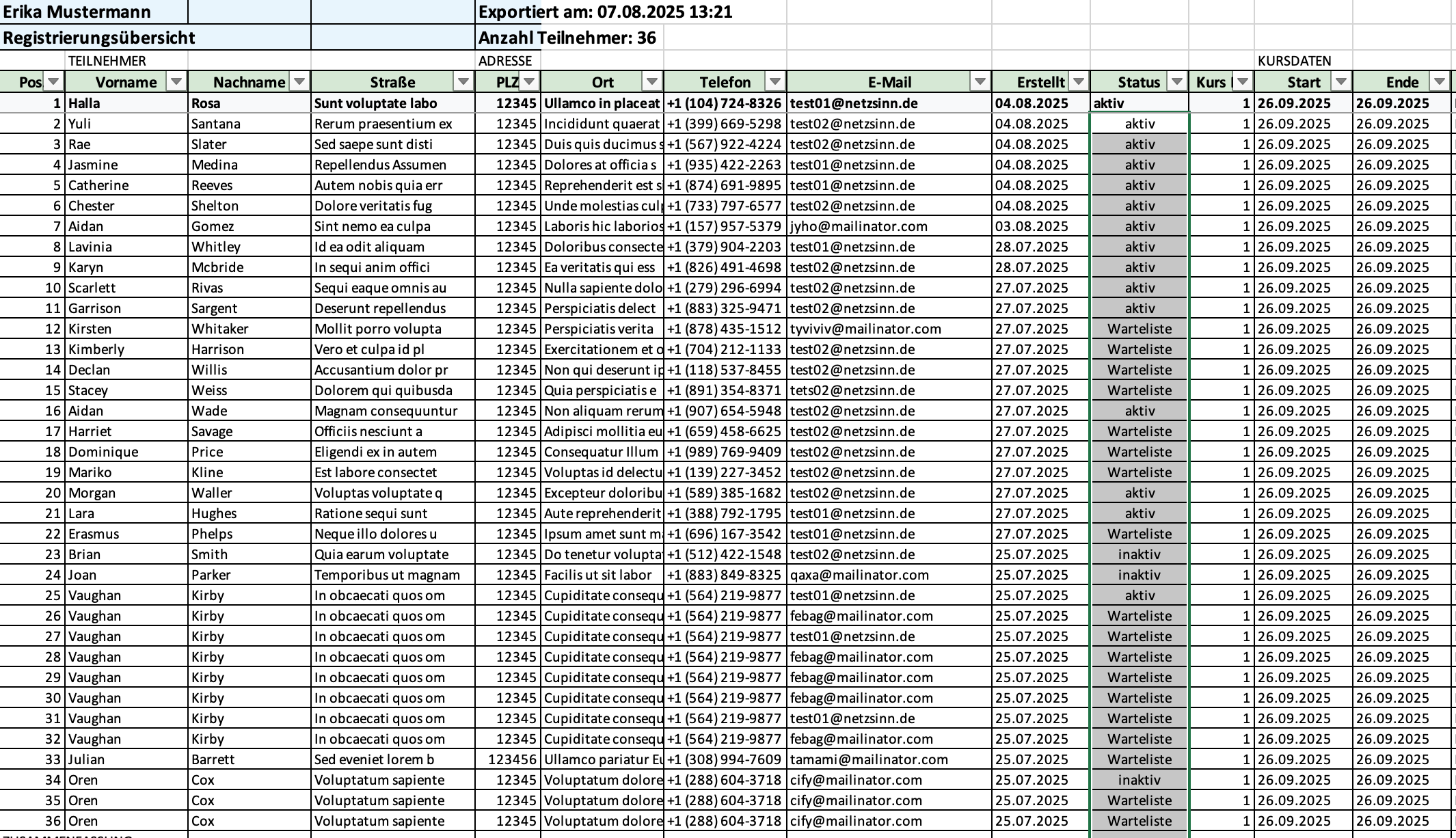
Teilnehmendenlisten als Excel & CSV-Export
Für deine digitale Weiterverarbeitung: Exportiere Teilnehmerdaten als Excel- oder CSV-Datei und arbeite weiter in deiner Lieblingssoftware. Ob Sortieren, Filtern oder Import in andere Systeme – du hast die volle Kontrolle.

Kurse verwalten - mit ein paar Klicks
Kursbuchungen, Zahlungen und Teilnehmendenverwaltung einfacher – und professioneller organisieren.
